What is qubit state, really?
A beginner’s guide to states in quantum computing
In a recent article, I explained how to create a quantum circuit, the quantum counterpart to digital circuits that form the basis of quantum computers. Understanding the state of a quantum circuit is a crucial next step toward practical quantum applications.
Quantum state is the properties that describe a physical system, such as a qubit in a quantum computer. The unpredictability of quantum states, due to quantum mechanics, theoretically enables “unhackable” computing, as hackers cannot know outcomes without destroying the computer. However, using a quantum computer for tasks such as computation requires explicitly knowing certain parts of the state.
This article explains these complexities with as little linear algebra as possible. It outlines what a quantum state is, why it is crucial, and how to write and determine it.
What is quantum state
Quantum state is the mathematical description, or individual properties, that describe a quantum system, or a physical system in the quantum world.
Quantum systems can be any connected part that exists in the quantum world, from an electron to lasers to a qubit that is part of a larger quantum computer.

A quantum state for an electron includes mass and velocity (kinetic energy), spin, and momentum. A quantum state for a laser consists of a coherent state (similar to light), as well as position and momentum.
A classical bit, the fundamental unit of an everyday classical computer, represents its classical state as 0 (off) and 1 (on). Bitstrings, the combination of classical bits, can represent data or instructions for processing on an everyday computer.
Quantum state for quantum computers
The field of quantum information, or using quantum states to store and process data and perform computations, is still emerging.
Like in classical computing, the quantum state of a qubit technically also enables data storage and processing. We will elaborate on the qubit state in the next section, but one common way to represent a qubit state is |0> (ket 0) and |1> (ket 1).
Some explanations describe that the state values represent charge configurations, similar to dynamic RAM, which stores data as electrical charges. Another explains them as photons being at one location or another, or both [1].
The most common explanation is that the common states are regarded as computational basis states.
Computational basis states specify the initial configuration or reference points of a qubit’s physical system, similar to a coordinate system [2].
This sphere-like visualization, called a Bloch Sphere, is more commonly used in academia and research to demonstrate the “coordinate system” of a qubit, with the computational basis states at its north and south poles labeled |0> and |1>.

Another way to think of this coordinate system is that the computational basis states form the vector space for a two-dimensional vector, with the horizontal axis corresponding to |0> and the vertical axis to |1>, as shown here.

The coordinate system would display a vector pointing along the |0> axis if the state is |0>, and along the |1> axis if the state is |1>, as shown below.
The area between the horizontal axis corresponding to the |0> direction and the vertical axis corresponding to the |1> direction is where a vector would lie if the qubit is both |0> and |1> or at a superposition.

For example, this vector graph shows the qubit state as a superposition of 0 and 1, with the vector positioned between the axes. The graph shows a 36% (0.6²) probability for state zero and a 64% (0.8²) probability for state 1. We will discuss the likelihood of the states' means in the next section.

Computational basis states for multiple qubits
The number of computational basis states in a multi-qubit circuit or system is 2^qubits, or two to the number of qubits.
A two-qubit system would have 2², or 4, computational basis states, since qubits combine all their possible individual computational basis states.
Each qubit has two computational basis states, |0> and |1>. Therefore, a two-qubit system would have |0>, |0>, |1>, and |1> as its computational basis states across the two qubits. Combining them would yield the result of |00>, |01>, |10>, and |11>.
A three-qubit system would have 2³, or 8, computational basis states, and a four-qubit system has 2^4, or 16, and so forth.
A Q-sphere is used to visualize the computational basis states of multiple qubits, rather than a Bloch Sphere, which represents only one qubit.

Determining qubit state
Computational basis states provide the foundation for describing a qubit state, but additional essential details are needed to fully understand it. The unique characteristics of quantum states are what make quantum computing so computationally powerful and secure.
The state of a qubit can be 0, 1, or a superposition of both.
The main difference is that classical states are definite and deterministic, whereas quantum states are uncertain, known only probabilistically.
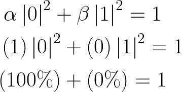
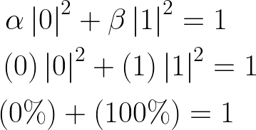
When we say that the state of a qubit is |0> (ket zero), we mean that the state is fully zero. |1> (ket one) means that the state is fully one.
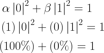
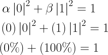
The mathematical rule for qubits is that the sum of the squares of amplitudes, represented as (α) alpha and (β) beta, must equal one, as shown in this formula (also known as the Born rule). The probability of zero occurring is alpha squared, while one occurring is beta squared.
Therefore, |0> or ket zero really means that the probability of zero is 100% while the probability of one is 0% as shown in the formula below. Alpha, the probability corresponding to state zero, is 100% and beta, the probability corresponding to state one, is 0%.
|1> or ket one means that the probability of zero is 0% while the probability of one is 100% as shown in the formula below. Alpha, the probability corresponding to state zero, is 0% and beta, the probability corresponding to state one, is 100%.
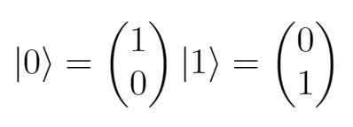
Another way to write a qubit state is as a column vector, with the probability of 0 at the top and the probability of 1 at the bottom. Below shows the ket zero and ket one written as column vectors.
An example with no definite probability for the states one and zero, or when the qubit is in superposition, better illustrates the mathematical rule. The vector graph shown earlier represents a superposition of 0 and 1, with 36% (0.6²) probability for state 0 and 64% (0.8²) for state 1.
The formula is then written as this:
However, what it actually means is that the probability of zero is 0.6² and the likelihood of one is 0.8². 0.6² plus 0.8² equals 1.
Its ket notation is written as 0.6 |0> + 0.8 |1>. In such a case, the qubit state can be displayed as a column vector like this:
Significance of state
The unique characteristics of qubit states make quantum computing ideal for high-performance computation and use cases requiring high security.
Unlike a classical bit, an actively used qubit (for computing) must be in a superposition of 0 and 1. This superposition allows qubits to run multiple computations simultaneously, making quantum computing extremely powerful.
An unused qubit is always in the state |0> or |1>. A qubit is |0> when it is “off” or at the ground state, or |1> when it is initialized, but no logic is applied.
Another time the qubit state is |0> or |1> is when the qubit is measured. This characteristic makes qubits extremely valuable for security applications and cryptography. When qubits are in use, they are in superposition, but as soon as the state is observed (i.e., a hacker views a password), it collapses to a definite |0> or |1>, allowing the sender and receiver to know precisely when the qubit state has been read and potentially hacked.
Over time, though, researchers will need to overcome the transmission of an unknown quantum state to build a quantum internet or a network of quantum computers that can share computing resources and handle even more powerful computing tasks.
Conclusion
Quantum state is the properties that describe a physical system in the quantum world.
In quantum computing, researchers describe the qubit state in various ways, but the most common is to view the computational basis states as defining the qubit’s vector space, much like a coordinate system.
Qubits have unique state characteristics compared to classical bits that make them ideal for future practical uses, including communication, networking, and cryptography.
Unlike classical bits, which are either 0 or 1, the state of qubits can be 0, 1, or both. This superposition allows a qubit to handle multiple computations in parallel.
Active qubits must be in this superposition, or else it is known that their state has been measured.
Sources
Matuschak, A., & Nielsen, M. (2019, March 18). Quantum computing for the very curious. Quantum Country. https://quantum.country/qcvc#what-does-the-quantum-state-mean
The qubit in quantum computing. Microsoft. (n.d.). https://learn.microsoft.com/en-us/azure/quantum/concepts-the-qubit
Hu, B. (2025, November 17). Quantum state in a nutshell. Bodun Hu. https://www.bodunhu.com/blog/posts/quantum-state-in-a-nutshell/
Quantum Information. IBM Quantum Platform. (n.d.). https://quantum.cloud.ibm.com/learning/en/courses/basics-of-quantum-information/single-systems/quantum-information
Zhang, P., Chen, N., Shen, S., Yu, S., Wu, S., & Kumar, N. (2022). Future Quantum Communications and Networking. IEEE Network Magazine. https://opus.lib.uts.edu.au/bitstream/10453/165421/3/Future%20Quantum%20Communications%20and%20Networking%20A%20Review%20and%20Vision.pdf












